No guardes tu dinero, hazlo crecer. 25% anual

Nosotros ofrecemos 25% de rendimiento anual
¿Quieres invertir?

Una simple inversión inicial vale más que 20 años de esfuerzo

📊 Reporte: La Importancia de una Inversión Inicial Alta en el interés compuesto

En el mundo de las inversiones, existen múltiples estrategias para hacer crecer el capital a lo largo del tiempo. Sin embargo, una de las decisiones más importantes es cómo y cuándo se aporta el dinero a la inversión. Este reporte analiza la diferencia entre invertir un monto inicial alto versus realizar aportaciones mensuales constantes, demostrando por qué una inversión inicial fuerte genera mayores rendimientos en el largo plazo, gracias al poder del interés compuesto

1️⃣ Caso 1 - Inversión Inicial Alta: Un solo pago de $100,000 MXN al inicio durante 20 años.


2️⃣ Caso 2 - Aportaciones Mensuales: $100,000 MXN distribuidos en pagos mensuales de $416 MXN durante 20 años.

Los resultados revelan qué estrategia maximiza mejor el crecimiento del capital a través del interés compuesto.

📈 El Poder del Interés Compuesto

El interés compuesto no solo genera rendimientos sobre la inversión inicial, sino que reinvierte las ganancias año con año, permitiendo un crecimiento exponencial.

La fórmula utilizada para calcular los rendimientos en cada caso es:

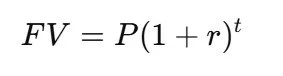
📌 Para una inversión única (Caso 1):

Donde:

  • FV = Valor futuro de la inversión

  • P = Monto inicial ($100,000 MXN)

  • r = Tasa de interés anual (25% = 0.25)

  • t = Número de años (20)

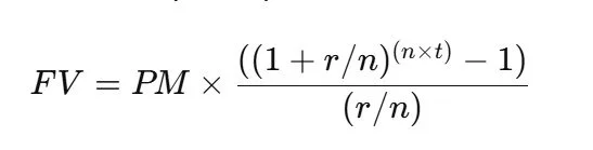
📌 Para aportaciones mensuales (Caso 2):

Donde:

  • FV = Valor futuro de la inversión

  • PM = Pago mensual ($416 MXN)

  • n = Número de periodos por año (12 meses)

  • r = Tasa de interés anual (25% = 0.25)

  • t = Número de años (20)

📊 Comparación de Resultados

Estrategia Capital Acumulado después de 20 años
Caso 1 - Inversión Inicial Alta ($100,000 una sola vez) $8,673,617 MXN

Caso 2 - Aportaciones Mensuales ($416/mes durante 20 años) $2,795,151 MXN

🔎 Diferencia Final: +$5,878,466 MXN a favor de la inversión inicial alta

📢 ¿Por qué la Inversión Inicial Alta es Más Beneficiosa?

1. Mayor base para generar intereses
Desde el primer año, el inversionista con capital inicial alto tiene una base mayor sobre la cual se aplican los intereses, lo que maximiza los rendimientos desde el inicio.

2. Crecimiento Exponencial vs. Crecimiento Lineal

  • La inversión inicial alta permite que el capital crezca de manera exponencial, ya que los intereses generan más intereses con el tiempo.

  • En cambio, las aportaciones mensuales generan un crecimiento más lento, porque cada nueva contribución apenas comienza a generar intereses desde que se invierte.

3. Ventaja del Tiempo
Mientras que en la estrategia de aportaciones mensuales cada peso tarda años en generar retornos significativos, en la inversión inicial alta todo el dinero está trabajando desde el día 1, lo que maximiza el efecto del interés compuesto.

4. Mayor Flexibilidad y Liquidez
Un inversionista que invierte una gran suma inicial puede decidir reinvertir sus ganancias o retirarlas en menor tiempo. Por otro lado, quien hace aportaciones mensuales necesita esperar más años para ver resultados significativos.

📌 Conclusión

Si tienes la posibilidad de invertir un monto alto desde el principio, hazlo lo antes posible y permite que el interés compuesto trabaje para ti. Esa es la clave de la riqueza en el largo plazo.

 

  • El tiempo y el interés compuesto juegan a favor de quienes invierten grandes montos desde el inicio.

  • Las aportaciones mensuales son útiles, pero no pueden igualar el crecimiento exponencial de una inversión fuerte desde el primer día.

  • Para un crecimiento patrimonial acelerado, lo ideal es invertir la mayor cantidad posible al inicio y dejar que los intereses hagan su trabajo.

¿Quiénes somos?

AURUM INVESTMENT es una firma especializada en estructuración y captación de financiamiento para desarrollos inmobiliarios de alto potencial. Nos dedicamos a conectar inversionistas visionarios con proyectos sólidos y rentables, ofreciendo oportunidades de inversión seguras y con atractivos rendimientos.

Nosotros ofrecemos 25% de rendimiento anual
¿Quieres invertir?